×
INTELLIGENT WORK FORUMS
FOR ENGINEERING PROFESSIONALS

Log In

Come Join Us!

Are you an
Engineering professional?
Join Eng-Tips Forums!
  • Talk With Other Members
  • Be Notified Of Responses
    To Your Posts
  • Keyword Search
  • One-Click Access To Your
    Favorite Forums
  • Automated Signatures
    On Your Posts
  • Best Of All, It's Free!
  • Students Click Here

*Eng-Tips's functionality depends on members receiving e-mail. By joining you are opting in to receive e-mail.

Posting Guidelines

Promoting, selling, recruiting, coursework and thesis posting is forbidden.

Students Click Here

Jobs

can anyone tell me what is the equa

can anyone tell me what is the equa

can anyone tell me what is the equa

(OP)
can anyone tell me what is the equation for calculating long-term deflection in post-tension and a reference please?

RE: can anyone tell me what is the equa

To undertake such a calculation you need to know a lot more about: element type (presumably beam or slab, etc), concrete properties (creep, shrinkage data), level of prestress, , reinforcement, loading history, humidity and temperature, cracking, and other factors that many PhD's have been the subject of.

Tell us a bit more about what you have and we may be able to give you a direction/path.

Right or wrong, if you are in the USA and this is a slab that is load balanced for say 80% of SW, then you probably not going to check deflections, period.

RE: can anyone tell me what is the equa

(OP)
it`s for a slab, and I am looking for a general or any kind of equation for long-term deflection in post-tension, thank you.

RE: can anyone tell me what is the equa

What is the magnitude of your (short-term) deflection under self-weight and superimposed dead load?

And is the section 'cracked' at this load level?

RE: can anyone tell me what is the equa

(OP)
it`s not a particular section that I`m working on I just need to find the equation for research purposes, if you can point me towards a source where I can find the equation I would really appreciate it.

RE: can anyone tell me what is the equa

IMO, one of the better and practical resources on time-dependent analysis of both cracked and uncracked prestressed concrete is Gilbert and Mickleborough's book "Design of Prestressed Concrete" Link

Another is "Time-Dependent Behaviour of Concrete Structures". Link

RE: can anyone tell me what is the equa

There is no "equation" for it! Just as there is no realistic equation for long term deflection for any concrete member.

Combined effects of cracking, tension stiffening, creep and shrinkage cannot be defined in an equation.

RE: can anyone tell me what is the equa

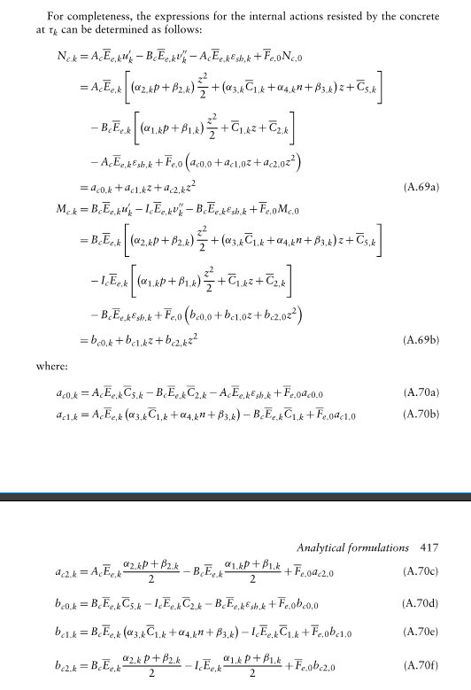
The "equation" may well be a system of equations and look a bit like below. Seriously, that's from one of the Gilbert books. And if you're conducting research, I imagine that you would want to take it that far as anything less than state of the art is probably unacceptable.

I like to debate structural engineering theory -- a lot. If I challenge you on something, know that I'm doing so because I respect your opinion enough to either change it or adopt it.

RE: can anyone tell me what is the equa

Quote (KootK)

...that's from one of the Gilbert books

Classic! I recall taking one of Ian's post-grad courses in prestressed concrete back in the early 90's - and prior to Prof's using digital PowerPoint presentations that they email to you after the lecture - and a class of about 20+ students scrambled to write down his blackboard notes with correct nomenclature. Literally speaking "greek" with all those sysbols!

Red Flag This Post

Please let us know here why this post is inappropriate. Reasons such as off-topic, duplicates, flames, illegal, vulgar, or students posting their homework.

Red Flag Submitted

Thank you for helping keep Eng-Tips Forums free from inappropriate posts.
The Eng-Tips staff will check this out and take appropriate action.

Reply To This Thread

Posting in the Eng-Tips forums is a member-only feature.

Click Here to join Eng-Tips and talk with other members!


Resources