Simulation of the rotating disc under the gravity load in abaqus ?
Simulation of the rotating disc under the gravity load in abaqus ?
(OP)
Hello everybody
I'm trying to simulate the rotating disc under the gravity load.
The goal of this simulation is, get to the displacement frequency of this system (Center point of the disc).
Part module:
Created part shown in image (1):

Image (1)This part is: 3D ,Deformable ,Solid.
Dimension: meter.
Property module:
Material is:
Steel (Stainless Steel Grade 304)
Mass Density: 7900
Young's module: 193Gpa (193E9 pa)
Poisson's Ratio: 0.265
Expansion Coeff alpha: 1.7E-005
*Plastic:
*This Data (Plastic) is not accurate.
Assembly module:
This Part (Show in image 1) made from merge of the Disc and Shaft.
Also there is a Cylindrical coordinate axis and 2 Reference Points.

Image (2)Step module:
There is 2 Dynamic, Explicit Steps in this simulation:
The first step is a dummy step and just for model stability. Cause of existing this step is:
Model get under the pure gravity load (in this step there is no Rotation).
Value of this step is: 0.2
The second step have both Rotation and Gravity.
Value of this step is: 10
Interaction module:
There is 2 Rigid Body constrains in this model and they're Region type is Pin (nodes), like image (3):

Image (3)With getting the highlighted area in image (3) rigid body, I assumed that area is Virtual Bearing.
Load module:
Gravity load configuration is in the image (4):

Image (4)Gravity load did not apply to the rigid body areas (Virtual Bearings).
The 2 boundary conditions configuration is:

Image (5)
Image (6)Also the amplitude for modified step is:

Image (7)Mesh module:
All elements type is:
C3D8R: An 8-node linear brick, reduced integration, hourglass control.

Image (8)Results:
After a while, GR monitor show like image (9) and it seems abaqus can't get to the convergence and stick in the total time 8.2 and I don’t know why something like this happening?!

Image (9)Warning of GR monitor is:
2 nodes lie on the axis of their cylindrical or spherical transformation systems. The local coordinate systems at these nodes are not well-defined. The nodes have been identified in node set WarnNodeCylTransSys.
Output request e is not available in a nonlinear step -- le (log strain) will be output instead.
Output request damageshr is not available for the material for element type c3d8r
Output request peeqvavg is not available for element type c3d8r
Output request pevavg is not available for element type c3d8r
Output request shrratio is not available for the material for element type c3d8r
Output request svavg is not available for element type c3d8r
Output request sth is not available for element type c3d8r
Output request e is not available in a nonlinear step -- le (log strain) will be output instead.
Output request damageshr is not available for the material for element type c3d8r
Output request peeqvavg is not available for element type c3d8r
Output request pevavg is not available for element type c3d8r
Output request shrratio is not available for the material for element type c3d8r
Output request svavg is not available for element type c3d8r
Output request sth is not available for element type c3d8r
There are 17 warning messages in the data (.dat) file. Please check the data file for possible errors in the input file.
All nodal degrees of freedom are constrained by a rigid body for deformable elements listed below. To reduce computational expense, convert these elements to rigid. Refer to the status file for further details.
Visualization module:
I make the interval value 20 for the gravity step and 10000 for the rotating step to get the more accurate outputs.
In frame of 8000 model body get like image (10):

Image (10)As you can see we have deformation after the rigid body constraint area.
Also whole of the body except the rigid body areas get smaller, see image (11):

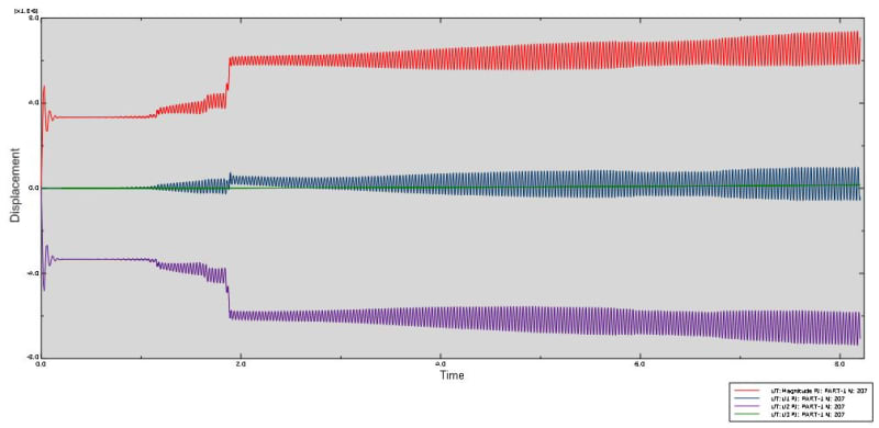
Image (11)To get the wanted frequency (displacement) I get to "XY data from ODB field output" and pick the "unique Nodal" and mark the "UT" then choose the center node of the disc, as shown in the image (12).

Image (12)The graph came from this configuration is image (13):

Image (13)Now after all of this explanation, is there anybody know what should I do to get the right answer?
Because I think after a while (maybe 1.5 sec) graph should have sine displacement, like image (14):

Image (14)
Thanks.
Yassou.
I'm trying to simulate the rotating disc under the gravity load.
The goal of this simulation is, get to the displacement frequency of this system (Center point of the disc).
Part module:
Created part shown in image (1):

Image (1)
Dimension: meter.
Property module:
Material is:
Steel (Stainless Steel Grade 304)
Mass Density: 7900
Young's module: 193Gpa (193E9 pa)
Poisson's Ratio: 0.265
Expansion Coeff alpha: 1.7E-005
*Plastic:
--------Yield Stress-------Plastic Strain
1)--------176E6--------------0
2)-------350E6--------------0.1
3)-------451E6--------------0.2
4)-------490E6--------------0.3
5)-------540E6--------------0.4
6)-------555E6--------------0.5
7)-------568E6--------------0.6
8)-------555E6--------------0.7
9)-------490E6--------------0.8
10)------411E6--------------0.82
Table (1)
Section is: Solid, Homogeneous.1)--------176E6--------------0
2)-------350E6--------------0.1
3)-------451E6--------------0.2
4)-------490E6--------------0.3
5)-------540E6--------------0.4
6)-------555E6--------------0.5
7)-------568E6--------------0.6
8)-------555E6--------------0.7
9)-------490E6--------------0.8
10)------411E6--------------0.82
Table (1)
*This Data (Plastic) is not accurate.
Assembly module:
This Part (Show in image 1) made from merge of the Disc and Shaft.
Also there is a Cylindrical coordinate axis and 2 Reference Points.

Image (2)
There is 2 Dynamic, Explicit Steps in this simulation:
The first step is a dummy step and just for model stability. Cause of existing this step is:
Model get under the pure gravity load (in this step there is no Rotation).
Value of this step is: 0.2
The second step have both Rotation and Gravity.
Value of this step is: 10
Interaction module:
There is 2 Rigid Body constrains in this model and they're Region type is Pin (nodes), like image (3):

Image (3)
Load module:
Gravity load configuration is in the image (4):

Image (4)
The 2 boundary conditions configuration is:

Image (5)

Image (6)

Image (7)
All elements type is:
C3D8R: An 8-node linear brick, reduced integration, hourglass control.

Image (8)
After a while, GR monitor show like image (9) and it seems abaqus can't get to the convergence and stick in the total time 8.2 and I don’t know why something like this happening?!

Image (9)
2 nodes lie on the axis of their cylindrical or spherical transformation systems. The local coordinate systems at these nodes are not well-defined. The nodes have been identified in node set WarnNodeCylTransSys.
Output request e is not available in a nonlinear step -- le (log strain) will be output instead.
Output request damageshr is not available for the material for element type c3d8r
Output request peeqvavg is not available for element type c3d8r
Output request pevavg is not available for element type c3d8r
Output request shrratio is not available for the material for element type c3d8r
Output request svavg is not available for element type c3d8r
Output request sth is not available for element type c3d8r
Output request e is not available in a nonlinear step -- le (log strain) will be output instead.
Output request damageshr is not available for the material for element type c3d8r
Output request peeqvavg is not available for element type c3d8r
Output request pevavg is not available for element type c3d8r
Output request shrratio is not available for the material for element type c3d8r
Output request svavg is not available for element type c3d8r
Output request sth is not available for element type c3d8r
There are 17 warning messages in the data (.dat) file. Please check the data file for possible errors in the input file.
All nodal degrees of freedom are constrained by a rigid body for deformable elements listed below. To reduce computational expense, convert these elements to rigid. Refer to the status file for further details.
Visualization module:
I make the interval value 20 for the gravity step and 10000 for the rotating step to get the more accurate outputs.
In frame of 8000 model body get like image (10):

Image (10)
Also whole of the body except the rigid body areas get smaller, see image (11):

Image (11)

Image (12)

Image (13)
Because I think after a while (maybe 1.5 sec) graph should have sine displacement, like image (14):

Image (14)
Thanks.
Yassou.





RE: Simulation of the rotating disc under the gravity load in abaqus ?
RE: Simulation of the rotating disc under the gravity load in abaqus ?
you mean the Edit Job window ---> precision Tab ?
No, i Didn't.
Do you think doing something like that can change the results and avoid the deformation ?
if yes which configuration you intended ?
RE: Simulation of the rotating disc under the gravity load in abaqus ?
If the results will be 'correct' depends also on other settings.
I would also recommend:
- Use a rectangular CSYS. The cylindrical is not necessary in your case and might cause problems. See the first warning message.
- Ramp up your loads with smooth step amplitudes to avoid unwanted oscillations.
- Be careful with step time amplitudes in multistep analysis. I recommend to apply all loads in the first step and handle everything with total time amplitudes.
RE: Simulation of the rotating disc under the gravity load in abaqus ?
You can scale your geometry while making a copy of your part. Just in case you don't know that option...
RE: Simulation of the rotating disc under the gravity load in abaqus ?
I try all of them and still I have a deformation and I can't get the wanted sine graph.
But when using double precision and nodal output precision (Full), model did not get stick on the 8.2 total time.
By the way, I'm still in chasing the tail to get the answer.
Have fun.
Yassou.