Need Compressive Stress Equation Explained. Please Help!
Need Compressive Stress Equation Explained. Please Help!
(OP)
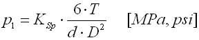
Ok, so I have a shaft and a hub that is connected with a solid dowel pin in double shear. I need to calculate the compressive stress in the shaft and in the hub under a torque load. I've found an equation that I believe may be my answer, but can someone please break the equation down for me so I can understand what's actually going on here? Stress is normally calculated by σ = P / A and I understand that T = P*D, but where does the Area fit into the equation below? Please see the attachments for further details. Thanks in advance for any help!

Pressure in Shaft:
- This equation can be rearranged to (6*P)/(d*D). (d*D) is the Area, but how does the multiplier 6 come into play?

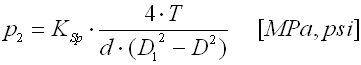
Pressure in Hub:
- Totally lost on this equation. Please explain.

Site For Reference

Pressure in Shaft:
- This equation can be rearranged to (6*P)/(d*D). (d*D) is the Area, but how does the multiplier 6 come into play?

Pressure in Hub:
- Totally lost on this equation. Please explain.

Site For Reference





RE: Need Compressive Stress Equation Explained. Please Help!
Can you explain why you think you have compressive stress in the shaft?
RE: Need Compressive Stress Equation Explained. Please Help!
RE: Need Compressive Stress Equation Explained. Please Help!
RE: Need Compressive Stress Equation Explained. Please Help!
RE: Need Compressive Stress Equation Explained. Please Help!
RE: Need Compressive Stress Equation Explained. Please Help!
I've tried to find a proof for the formula's you posted with no luck, other than working through them myself which I haven't got time to do, however I believe the formula's to be correct if that helps.
RE: Need Compressive Stress Equation Explained. Please Help!
RE: Need Compressive Stress Equation Explained. Please Help!
from bending of a rectangular section ... stress = My/I = M(d/2)/(b*d^3/12) = 6M/(b*d^2)
so p1 is the bending stress on the inner shaft as the shaft applies the torque to the pin.
the pin takes the torque from the inner shaft to the outer, as a couple. the pin is not in double shear; yes, there are two faces in shear, but this is not double shear.
see if you can take my description of p1 and figure out p2. hint, the outer shaft isn't a rectangle, but two rectangles.
another day in paradise, or is paradise one day closer ?
RE: Need Compressive Stress Equation Explained. Please Help!
Take a look at this link, I believe the pin is in double shear
https://books.google.co.uk/books?id=bIyqWm8s8-4C&a...
RE: Need Compressive Stress Equation Explained. Please Help!
this fastener the shear faces are reacting a couple; not double shear.
another day in paradise, or is paradise one day closer ?
RE: Need Compressive Stress Equation Explained. Please Help!
Ted
RE: Need Compressive Stress Equation Explained. Please Help!
"triangular distribution of stress/pressure" = elastic bending distribution.
another day in paradise, or is paradise one day closer ?
RE: Need Compressive Stress Equation Explained. Please Help!
RE: Need Compressive Stress Equation Explained. Please Help!
Here is an example showing the formula the op originally posted
https://books.google.co.uk/books?id=kfHD1ess3kMC&a...
Not though again the author states the pin is in double shear.
RB1957
The reason I believe the pin is in double shear is that when the pin passes through both sides of the shaft, it only takes half of the total load due to the total torque at each interface, now if the pin did not pass right through the shaft, ie a blind pin, then the force at the single interface due to the applied torque would be double that of the pin passing through both sides of the shaft.
RE: Need Compressive Stress Equation Explained. Please Help!
The pin is in double shear.
Ted
RE: Need Compressive Stress Equation Explained. Please Help!
the pin is not in double shear ... the two active shear faces are reacting a couple; for me that is not double shear. for me double shear is when a pin has a load of 2P applied and reacts P on two faces.
another day in paradise, or is paradise one day closer ?
RE: Need Compressive Stress Equation Explained. Please Help!
Well effectively that's what happens, if the pin is blind and only through one side it see's twice the force that it would see than if it were through both sides.
Another way of defining single and double shear is the number of pieces the pin break into on failure, so in single shear it would break in two pieces and in double shear it would break in three, now if the pin is through both sides of the shaft then clearly it would break into three pieces, would you agree?
RE: Need Compressive Stress Equation Explained. Please Help!
to me it's saying that the pin has two faces resisting the same load (2P applied, P reacted on 2 faces) so that the pin can support twice(ish) the usual load (ie 2*the single shear allowable).
i would not call this application double shear.
"if the pin is blind and only through one side" ... IMHO, no ... now you have two studs (as near as i can understand your description) each supporting 1/2 of the couple ... in single shear. I'm understanding the loading as torque coming down the shaft, and the pin takes the torque from the shaft to the cylinder.
another day in paradise, or is paradise one day closer ?
RE: Need Compressive Stress Equation Explained. Please Help!
Ted
RE: Need Compressive Stress Equation Explained. Please Help!
another day in paradise, or is paradise one day closer ?
RE: Need Compressive Stress Equation Explained. Please Help!
I can't post a sketch at present however let me try and describe what I believe,
Assume a torque of 100Nmm acting on a shaft of say 10mm diameter which is sleeved and pinned on one side only,so the pin can only transmit the torque through one interface, take moments to calculate the load on the pin at the interface and we obtain
100Nmm = 5mm * unknown force
Force = 100/5. ...... 20N
Now consider the pin passes through the shaft and creates two interfaces the reaction at each intersection becomes
Force= 100/10 ......... 10N
So we could increase the torque to 200Nmm to achieve a reaction of 20N at each interface thus increasing the capacity of the pin to transmit torque.
Now if the pin in the latter example fails and produces three pieces what failure mode would you call it, if it isn't double shear?
RE: Need Compressive Stress Equation Explained. Please Help!
can we just agree to disagree ?
another day in paradise, or is paradise one day closer ?
RE: Need Compressive Stress Equation Explained. Please Help!
The force on the pin in the hub acts at the mid-point in the hub thickness at diameter (D1 + D)/2. That force x (D1+d)/2 = T, or that force = 2T/(D1+D)
The pressure p2 = that force divided by the pin projected area(d*(D1-D)/2) or
p2 = (2T/(D1+D))/(d*(D1-D)/2) = 4T/(D1+D)*d*(D1-D) = 4T/(d*(D1^2 - D^2))
remember (D1+D)*(D1-D) = D1^2 - D^2
Ted
RE: Need Compressive Stress Equation Explained. Please Help!
Yes no problem. We can agree to disagree!
Regards
Desertfox
RE: Need Compressive Stress Equation Explained. Please Help!
more than one way to skin a cat (but cats like none of them)
another day in paradise, or is paradise one day closer ?
RE: Need Compressive Stress Equation Explained. Please Help!
Ted
RE: Need Compressive Stress Equation Explained. Please Help!
another day in paradise, or is paradise one day closer ?