Question regarding Roll Centers of a Double A-Arm suspensions
Question regarding Roll Centers of a Double A-Arm suspensions
(OP)
Greetings.
As per the title, the question is as follows:
If I'm facing the car up front, the procedure to determine the IC's and finally the RC seems simple:
- extend lines from upper control arm and lower control arms, check their intersection point
- repeat the step above for the others side
- from the IC's, extend lines to the center of the contact patch of each tire
- where these lines intersect, we should find the RC's
However, on a double a-arm assembly (as depicted here:Link) , each arm (upper or lower) has 2 different attachment points to the chassis.
As such, how to draw the lines from upper and lower arms (so they intersect (if they intersect) and we can find the IC's), considering that there are 2 attachment points to the chassis?
I am aware this is a "basic" question, but I'm trying to figure out exactly how to implement this in my tools (I'm a also a programmer). I am also intent on checking the 3-dimensional coords of IC's and RC's, and not only the usual width & height locations of these.
Thank you for any help.
MS
As per the title, the question is as follows:
If I'm facing the car up front, the procedure to determine the IC's and finally the RC seems simple:
- extend lines from upper control arm and lower control arms, check their intersection point
- repeat the step above for the others side
- from the IC's, extend lines to the center of the contact patch of each tire
- where these lines intersect, we should find the RC's
However, on a double a-arm assembly (as depicted here:Link) , each arm (upper or lower) has 2 different attachment points to the chassis.
As such, how to draw the lines from upper and lower arms (so they intersect (if they intersect) and we can find the IC's), considering that there are 2 attachment points to the chassis?
I am aware this is a "basic" question, but I'm trying to figure out exactly how to implement this in my tools (I'm a also a programmer). I am also intent on checking the 3-dimensional coords of IC's and RC's, and not only the usual width & height locations of these.
Thank you for any help.
MS





RE: Question regarding Roll Centers of a Double A-Arm suspensions
There are several suspension analysis programs out there (I like Vsusp, it's free). Most of these are 2d but some are 3d, considering the interaction of front and rear roll centers, etc.
But I believe there's always room for more and better. Suspension analysis is a fascinating subject and seems like an endless subject for research.
ps: I just found out about Ollie's rule for mitigating roll center migration. But some say this is not important(?!) I'm currently involved in design of Lotus 7 replicas and suspension design is so complex that I'm considering just using an infinitely (within reason) adjustable suspension system that is tunable to the track.
Bob
RE: Question regarding Roll Centers of a Double A-Arm suspensions
I checked the link. Carbible for some reason prohibits viewing of the image directly. One has to go directly to the page itself:
http://www.carbibles.com/suspension_bible.html
The image is just below "Coil Spring type 1".
I tried vSusp a while back, didn't quite fit my own needs. It presents a front view only, and I need a side and upper view.
Regarding the issue I am describing, I want to know if upper and lower arms lines come from the front/rear attachment points or a line directly from the ball joints (upper and lower) to which the wishbones are attached.
RE: Question regarding Roll Centers of a Double A-Arm suspensions
The lower arm usually has its pivot axis horizontal and parallel to the centerline of the vehicle (or very close to this), so that one is easy. The upper arm often has its pivot axis parallel to the centerline but sloping down towards the back. Sometimes, the upper arm pivot axis is not parallel to the vehicle centerline. Then things start getting complicated.
RE: Question regarding Roll Centers of a Double A-Arm suspensions
That clears it up for me.
As for non-parallel (to centerline) pivot axis, in such a case the best I can get is a good, honest estimate (ballpark figures, that is)...or increment the complexity of the calculations.
Thanks, Brian.
RE: Question regarding Roll Centers of a Double A-Arm suspensions
In the attachment, you'll find a representation of the concept as described in Milliken's Race Car Vehicle Dynamics.
Here's how you find a plane with 3 known points (the ball joint and pivot of the control arm);
Here's how to find the instant axis location knowing the control arms planes;
Here's how you find the ICs with the known axis and either the front or side view plane;
RE: Question regarding Roll Centers of a Double A-Arm suspensions
Good heads-up there.
RE: Question regarding Roll Centers of a Double A-Arm suspensions
With regards to your question about roll center migration it becomes increasingly important with higher roll gradients. You will find that your roll moment variation with roll can affect LLT with similar detrimental effects like nonlinear wheel rates etc. Some of this can be designed for, but for simplicities sake, stick to the basics. Vertical migration is the killer here, this can affect your total overturning moment like i said as well as affect jacking force. Anyways, i digress…
BTW im a personal fan of W.C. Mitchell software: Wingeo ~3d and allows for anti-geometry analysis.
Regards,
FP
RE: Question regarding Roll Centers of a Double A-Arm suspensions
Secondly RCH is very dependent on ride height, and almost any car pitches as it rolls, so worrying about niceties of pure roll RC migration is chasing a rainbow.
In practice force based roll centre height is far more useful. = track/2*dFz/dFy
Cheers
Greg Locock
New here? Try reading these, they might help FAQ731-376: Eng-Tips.com Forum Policies http://eng-tips.com/market.cfm?
RE: Question regarding Roll Centers of a Double A-Arm suspensions
Somewhere out there, there must be a car with suspension geometry allowing a wandering roll center. How does she drive?
Bob
RE: Question regarding Roll Centers of a Double A-Arm suspensions
RE: Question regarding Roll Centers of a Double A-Arm suspensions
If the car is in roll while cornering, that's where a MacPherson geometry is the most whacked. The instant center for the loaded outside wheel is likely nearing infinity somewhere on either side of the car (it could easily be on the "wrong" side!) and the one for the inside wheel is likely up high and close in because of the droop in the lower control arm. (Draw a diagram - you'll see.) But the messed up instant center for the inside wheel doesn't mean much, because that wheel is less loaded. This is why the force based approach makes more sense.
Lots of cars with MacPherson drive fine. Lots of them don't, too. But ... "upper and lower wishbone" can describe the front suspension of a Formula 1 car, or a 1955 Chevy.
RE: Question regarding Roll Centers of a Double A-Arm suspensions
Greg,
I agree that, ultimately, force application is what determines both the contact patch motion/shape and RCH. The only thing is, determination of lateral and longitudinal forces is obviously not simple: aside from the suspension and tire variables, one has to contend with aerodynamics effects, and these are dependent on many different factors (speed, attitude/AoA, shape, etc, etc). So, best case scenario, you get an envelope of performance.
Hence my need to have a basis to work with - albeit being more of a geometric nature.
In any case, good heads-up there. Thank you, Greg.
MS
RE: Question regarding Roll Centers of a Double A-Arm suspensions
I picked up your described plan to build a 7 with infinitely adjustable geometry. Have you got any concrete plans for this? I've considered doing something similar myself, as a learning exercise, because my own experiences of "roll-centre tuning" in education and in industry have been less than convincing.
It would be good to discuss this and share some ideas.
Regards,
Chris
RE: Question regarding Roll Centers of a Double A-Arm suspensions
I've actually started working plans for what I call Das Boot, since it looks more like an aluminum boat than a car.
If you can pm me or whatever you do on this site, I can share some sketches of ideas.
Bob
RE: Question regarding Roll Centers of a Double A-Arm suspensions
Thanks for the reply. Sounds interesting.
I can't actually find a PM feature on this site I'm afraid (I may have missed it?!), could you email me at - chris . w . anthony [at] hotmail . co . uk ? I'm very keen to see what you've come up with.
Best Regards,
Chris
RE: Question regarding Roll Centers of a Double A-Arm suspensions
I was unable to use your e-mail. So I'll attempt to download the sketches here.
Bob
RE: Question regarding Roll Centers of a Double A-Arm suspensions
RE: Question regarding Roll Centers of a Double A-Arm suspensions
I've not come across Olley's rule before, I'm keen to give it a try on a CAD sketch generator tonight. Is this mentioned in Milliken's Chassis Design?
So which parameters will you be looking to change when you build the car? Roll centre migration only, or static roll centre heights too?
Have you got any ideas as to how the chassis brackets will physically accommodate the adjustability yet? This is the biggest problem I am trying to overcome in my designs, especially with regards to trying to ensure compliance levels are both reasonable and consistent between settings.
Also, what Locost forum are you on? I'll see if I can PM you in there. Strange that my email doesn't work, will have to try and sort that!
RE: Question regarding Roll Centers of a Double A-Arm suspensions
Try me at rgarner2@san.rr.com
I've got an article on Olley's rule.
I was on the locostusa forum but that forum can't accept pdf's so I gave up on them.
Bob
RE: Question regarding Roll Centers of a Double A-Arm suspensions
Just came up with an idea for a slider type adjuster mechanism using a stepper motor (as used on CNC mills) to actively adjust all the inner suspension pivots during driving. I've got the sliders designed but have to figure out how to size and mount the stepper motor.
Bo
RE: Question regarding Roll Centers of a Double A-Arm suspensions
If you want a suspension with inner suspension pivots that have variable locations, you might be interested in the Camber Compensation & Anti-Roll suspension design. It's simple and, according to comments found online, it seems to work well.
RE: Question regarding Roll Centers of a Double A-Arm suspensions
That looks like a challenge to design - I have to try it!
I couldn't find anything on the correct geometry for this linkage and hope to have some time to search the patent drawings. I tried to draw some vector diagrams last night and couldn't figure it that way. Time to break out the all-thread and carburetor ball joints to make a model.
I gave up on the inner pivot slider mechanism since it has to operate on an arc to match the length of the control arm; difficult to do with a straight line screw mechanism. Besides, I have a new toy to play with - CC&AR linkage.
ps: anybody ever seen a curved screw mechanism, kinda like that curved Pontiac Tempest driveshaft from years ago?
Bob
RE: Question regarding Roll Centers of a Double A-Arm suspensions
Jay Maechtlen
http://www.laserpubs.com/techcomm
RE: Question regarding Roll Centers of a Double A-Arm suspensions
Cheers
Greg Locock
New here? Try reading these, they might help FAQ731-376: Eng-Tips.com Forum Policies http://eng-tips.com/market.cfm?
RE: Question regarding Roll Centers of a Double A-Arm suspensions
With most newer production vehicles designed to be driven by everyone (i.e. relatively unskilled drivers), the front suspension often intentionally has a not-so-great camber curve in the interest of ensuring that the vehicle always understeers. The rear suspension often is trailing-arm-based, in the interest of counteracting the back end lifting up when braking; that's not really consistent with the use of CCAR either. If having the rear wheels stay flat to the ground is an important issue and you want a high-ish roll center then you can just use a beam axle (or deDion axle), which has far fewer pivot points and bushings and links.
RE: Question regarding Roll Centers of a Double A-Arm suspensions
Also, how will I design that link to restrain control arm longitudinal (parallel to vehicle) forces? I have an idea but it's getting complicated.
This is fun but too many questions to be practical for me.
Jay, what's your current project?
Bob
Let me know if you can open this file. Since I fixed my computer, I can't download.
RE: Question regarding Roll Centers of a Double A-Arm suspensions
Are you able to provide more information on the estimation/determination of the force based RCH without a full analysis of the system?
Cheers
Rowan Carter
RE: Question regarding Roll Centers of a Double A-Arm suspensions
My current project is a rear suspension for a project car which is roughly based on an early Corvair.
It has about 1400 pounds on the rear, about 1000 lbs on the front.
My UCAs will carry the spring load, and is well along in fabbing, so any redesign will come much later.
Enough of it is bolt-together, I can go to a CC&AR configuration later.
The engine is transverse, but there is room to package the cross-links pretty easily.
The front suspension is not really an issue, given the weight distribution. It will stick well enough regardless.
Jay Maechtlen
http://www.laserpubs.com/techcomm
RE: Question regarding Roll Centers of a Double A-Arm suspensions
An axle also keeps the wheels upright to the road no matter what the bodyshell does, and it also allows higher roll centers without jacking.
Is a CCAR system a much-more-complex deDion beam axle?
I suppose the CCAR system would allow you to control toe with wheel travel, whereas deDion locks the wheels parallel. But if you are designing for zero bump steer, that's what is going to happen anyway.
RE: Question regarding Roll Centers of a Double A-Arm suspensions
Brian, I have to agree that the deDion seems to do the same thing as the CCAR. A long time ago, we had trouble with solid axles "tramping". I presume the deDion eliminates that issue.
Bob
RE: Question regarding Roll Centers of a Double A-Arm suspensions
Mine's a transverse GM 3800 V6. (transplanted FWD setup). Lower control arms, going to upper control arms instead of struts.
Greg:
I didn't find much info on camber sensitivity with a quick Google search. Can you suggest sources?
Thanks
Jay
Jay Maechtlen
http://www.laserpubs.com/techcomm
RE: Question regarding Roll Centers of a Double A-Arm suspensions
Cheers
Greg Locock
New here? Try reading these, they might help FAQ731-376: Eng-Tips.com Forum Policies http://eng-tips.com/market.cfm?
RE: Question regarding Roll Centers of a Double A-Arm suspensions
Here's what W Mitchell says, a good start
http://www.ferretindustries.ca/ferretindustries/bo...
There are innumerable threads on fsae, f1technical, and here on much the same subjects.
Years ago I was very keen on promoting FBRCH rather than kinematic, but in fact for small geometry changes kinematic is useful, and for serious maneuvers neither is amazingly helpful,I think, and millimetric accuracy is almost certainly excessive.
Cheers
Greg Locock
New here? Try reading these, they might help FAQ731-376: Eng-Tips.com Forum Policies http://eng-tips.com/market.cfm?
RE: Question regarding Roll Centers of a Double A-Arm suspensions
I'm currently reviewing the angle of the LCA on a MacPherson strut club type racing car, and was keen to try a lower RCH to reduce initial weight transfer on turn-in. In the past I've always always set up the vehicle with a level or down sloping LCA due to a belief that an up sloping LCA caused too much RC migration or an underground location etc.
Cheers
Rowan Carter
RE: Question regarding Roll Centers of a Double A-Arm suspensions
Cheers
Greg Locock
New here? Try reading these, they might help FAQ731-376: Eng-Tips.com Forum Policies http://eng-tips.com/market.cfm?
RE: Question regarding Roll Centers of a Double A-Arm suspensions
Hi Greg,
Is that more than actual tire on road camber, and can you share what angle modern widish street tires might prefer?
thanks
Dan T
RE: Question regarding Roll Centers of a Double A-Arm suspensions
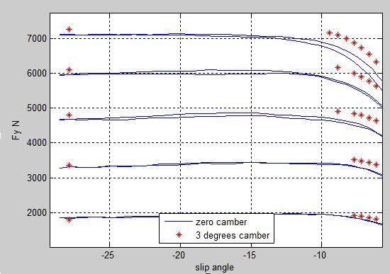
shows raw F&M data for a tire at various Fzs, with 0 and 3 degrees of inclination angle.
Cheers
Greg Locock
New here? Try reading these, they might help FAQ731-376: Eng-Tips.com Forum Policies http://eng-tips.com/market.cfm?
RE: Question regarding Roll Centers of a Double A-Arm suspensions
This might be interesting for you. Some time ago I stumbled into a website with a vehicle dynamics tool in excel and asked here on the forum whether anybody had experience with the tool. I did not get that many answers so I hesitated. Anyway, after a while I decided to buy the base ride and handling setup tool and I did indeed learn a lot on vehicle dynamics by using it. Recently I did buy the fully excel based Suspension Design Module that does allow you to investigate/create all kinds of suspensions and I am really loving it. The tool is called "Dynatune Suspension Design Module" for those who might be interested.
Regards,
Sam
RE: Question regarding Roll Centers of a Double A-Arm suspensions
I think that the effects they were looking for would more easily come from parallel and equal length A arms with the strut towers mounted with consideration to the RC moment arm and center of gravity
"Formal education is a weapon, whose effect depends on who holds it in his hands and at whom it is aimed." ~ Joseph Stalin