Pipe support during excavation of gasline
Pipe support during excavation of gasline
(OP)
Searching this forum shows quite many threads regarding pipe support. Most threads with specific answers are quite old (year <2005), and some general info is that there is no fixed rule or standard for pipe support distance.
Has this changed in last few years? Is there now any quide/rules/tables/calculations for maximum unsupported pipe section?
We have upcoming maintenance on long sections of natural high pressure gas lines (12", 20" ANSI 300, 7 mm thickness). Long sections must be recoted (sections of up to 300m in length). Is there any simple "rule of thumb" what length can be excavated without temporary supports?
Sure I can calculate bending stress, but there is also mater of inside pressure (around 40 bar, MAOP=50 bar) and welding which I'm not sure how to calculate and consider them or not..
What is your experience in such situations. Is unsupported section in range of 5m, 15 m, more?
Thank You for all inputs.
Has this changed in last few years? Is there now any quide/rules/tables/calculations for maximum unsupported pipe section?
We have upcoming maintenance on long sections of natural high pressure gas lines (12", 20" ANSI 300, 7 mm thickness). Long sections must be recoted (sections of up to 300m in length). Is there any simple "rule of thumb" what length can be excavated without temporary supports?
Sure I can calculate bending stress, but there is also mater of inside pressure (around 40 bar, MAOP=50 bar) and welding which I'm not sure how to calculate and consider them or not..
What is your experience in such situations. Is unsupported section in range of 5m, 15 m, more?
Thank You for all inputs.





RE: Pipe support during excavation of gasline
My initial guess would be that the 12" would withstand about 10m span without getting close to your overall stress limit and the 20" probably about 15m. This is just my starter distance - you need to work it out.
If you do excavate longer sections and use intermediate supports, try and make sure that they are not point loads and that the support is at least 1m wide and "soft" at the edges. These will probably need to be closer together than for single excavations.
I've seen this sort of thing done a few ways - long sections with lots of supports or slings or excavate individual sections, re-coat, backfill then excavate the section after that. Just make sure when you backfill you compact the soil very well under the pipe to avoid any shear load between the repaired pipe and the original.
My motto: Learn something new every day
Also: There's usually a good reason why everyone does it that way
RE: Pipe support during excavation of gasline
I hate Windowz 8!!!!
RE: Pipe support during excavation of gasline
As operating pressure, and design pressure are quite close (40/50 bar) I must check combined stress as recommended above. I will have to use some equation based solution. Any pointers for this situation?
RE: Pipe support during excavation of gasline
I hate Windowz 8!!!!
RE: Pipe support during excavation of gasline
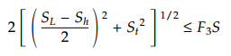
As recommended I looked into ASME 31.8. Under section A842.2 "Strength considiration during operations" there is calculation for combined stress
However, I can not get grip on those terms:
In calculation those two are only used for resulting bending stress (Sb), which would be what in this case?
Can this resulting stress for straight pipe be calculated in usual way Sb=M/Z (moment divided by section modulus)?
If I take original formula from this standard: Sb=[(ii*Mi)2+(io*Mo)2]1/2/z
and take intensification factors ii and io as 1, then I get that Sb=(Mi2+Mo2)1/2/z which look similar to Sb=M/Z. Are Mo and Mi just transformed components of stress in cross section?
Just for reminder, model is straight pipe under pressure, which is dig-out and left on supports (earth or solid support).
RE: Pipe support during excavation of gasline
Total axial stress =
SL = P/A +/- SB*c/I
P = axial load
A = cross-sectional area of steel pipe wall
M = I/c = Section modulus
don't forget any thermal loads, etc. when calculating P
making for
SL = P/A +/- SB/M
you must get smarter than the software you're using.
RE: Pipe support during excavation of gasline
So I have this model:
For hoop stress:
sHP = P*D/(2*t)
For axial stress I need to take three load components:
sLB .. bending stress (M/Z)
sLP .. stress from internal pressure (SLP=Fa/A, Fa=P*Ai, A=pi*(D^2-d^2)/4)
sLR .. stress from restraint ends
This sLR I found to be = v*sHP-E*alpha*(T2-T1) .. (v is poisson's ratio, alpha is thermal expansion rate)
Is this correct?
Now following your input above, total axial stress would be:
sL = sLP+sLR+-sLB
And now I can use this in ASME calculation for combined stress?
sT (torsionall stress) is zero?
That would leave that combined stress is:
sC = sL - sH
??
RE: Pipe support during excavation of gasline
RE: Pipe support during excavation of gasline
The thermal stress is an axial load in all pipes between anchors, but v (Poisson's ratio) is not for thermal stress. For thermal stress you use only α, the thermal expansion coefficient.
The axial component of pressure stress is hoop stress (only) x Poisson's ratio.
SLa = P*D/2/wt * ν
Sb is + or -
Don't forget to check the allowable for axial stress alone.
Additionally, since it is a thermal compressive load, check for column buckling.
you must get smarter than the software you're using.
RE: Pipe support during excavation of gasline
The axial component of hoop stress is similar to thermal stress, as it too only exists (fully) between full anchors.
you must get smarter than the software you're using.
RE: Pipe support during excavation of gasline
However if you need a rule of thumb use table 121.5 in the B31.1
RE: Pipe support during excavation of gasline
"you must get smarter than the software you're using. "
Nice saying!!!
RE: Pipe support during excavation of gasline