Electrical resistance vs temperature
Electrical resistance vs temperature
(OP)
I'm trying to do a simple calculation to find the electrical resistance of a copper coil at a different temperature. I thought I knew the equation but to check I took my results an worked it backwards and got a different result than I started with. I did a web search and found several online calculators and which give the exact same result.
Here's what I've got:
copper coef. of resistivity alpha = 0.00393 /deg C
T1 -40 deg C
R1 5 ohms
T2 20 deg C
R2 = R1[1+alpha(T2-T1)] = 6.179 ohms
But when you back solve it
T1 20 deg C
R1 6.179 ohms
T2 -40 deg C
R2 comes out 4.715 ohms, not the 5 ohms I started with.
I can see what is going on here, in the first case the [1+alpha(T2-T1)] factor is 1.236, in the second case it is 0.764, multiply them together and you get 0.944 which is not equal to 1.000 so I don't come back to where I started. But it should. So what am I doing wrong?
Here's what I've got:
copper coef. of resistivity alpha = 0.00393 /deg C
T1 -40 deg C
R1 5 ohms
T2 20 deg C
R2 = R1[1+alpha(T2-T1)] = 6.179 ohms
But when you back solve it
T1 20 deg C
R1 6.179 ohms
T2 -40 deg C
R2 comes out 4.715 ohms, not the 5 ohms I started with.
I can see what is going on here, in the first case the [1+alpha(T2-T1)] factor is 1.236, in the second case it is 0.764, multiply them together and you get 0.944 which is not equal to 1.000 so I don't come back to where I started. But it should. So what am I doing wrong?
----------------------------------------
The Help for this program was created in Windows Help format, which depends on a feature that isn't included in this version of Windows.





RE: Electrical resistance vs temperature
R2 = R1[1+alpha(T2-T1)] = 6.179 ohms
R1 = R2/[1+alpha(T2-T1)] = 6.179/[1+0.0039(20--40)]=5.007293
RE: Electrical resistance vs temperature
TTFN

FAQ731-376: Eng-Tips.com Forum Policies
Need help writing a question or understanding a reply? forum1529: Translation Assistance for Engineers
RE: Electrical resistance vs temperature
----------------------------------------
The Help for this program was created in Windows Help format, which depends on a feature that isn't included in this version of Windows.
RE: Electrical resistance vs temperature
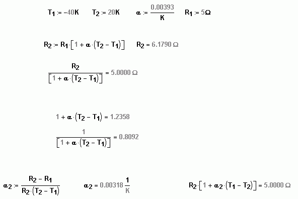
That said, the equation CANNOT be used with arbitrary temperature differences. The alpha is for a POSITIVE temperature coefficient. Therefore, the only way to do it in whatever calculator you're using is to use a different temperature coefficient, 0.00318/ºC
TTFN

FAQ731-376: Eng-Tips.com Forum Policies
Need help writing a question or understanding a reply? forum1529: Translation Assistance for Engineers
RE: Electrical resistance vs temperature
----------------------------------------
The Help for this program was created in Windows Help format, which depends on a feature that isn't included in this version of Windows.
RE: Electrical resistance vs temperature
http://www.utc.edu/Faculty/Tatiana-Allen/Temp.html
----------------------------------------
The Help for this program was created in Windows Help format, which depends on a feature that isn't included in this version of Windows.
RE: Electrical resistance vs temperature
R0 = R1 / (1+alpha(T1-T0))
R0 = 6.54 ohms (at 20 C)
That comes back to 5 ohms at -40 C.
----------------------------------------
The Help for this program was created in Windows Help format, which depends on a feature that isn't included in this version of Windows.
RE: Electrical resistance vs temperature
TTFN

FAQ731-376: Eng-Tips.com Forum Policies
Need help writing a question or understanding a reply? forum1529: Translation Assistance for Engineers
RE: Electrical resistance vs temperature
We can close this now all is right in the world.
----------------------------------------
The Help for this program was created in Windows Help format, which depends on a feature that isn't included in this version of Windows.
RE: Electrical resistance vs temperature
http://spiff.rit.edu/classes/phys273/manual/temp_c...
TTFN

FAQ731-376: Eng-Tips.com Forum Policies
Need help writing a question or understanding a reply? forum1529: Translation Assistance for Engineers